矩阵秩的性质(矩阵的秩的例题说明)2025年12月精选观点
矩阵秩的性质(矩阵的秩的例题说明)
矩阵秩的性质网页参考来源
考研数学矩阵秩的10个关键性质[b0]线性代数矩阵秩的8大性质重要定理以及关系[b1]矩阵的秩的性质[b2]矩阵的秩的性质pdf3页[b3]秩为1的矩阵6大性质[b4]矩阵秩的全方位解析[b5]日总结矩阵秩知识点[b6]两个矩阵秩的结论你掌握了吗[b7]高数知识总结[b8]考研线性代数秩的所有公式[b9]今天我们将进一步探讨矩阵秩的性质和计算方法[b10]利用分块阵证明矩阵秩的性质[b11]矩阵秩的全方位解析[b12]两个矩阵秩的结论你掌握了吗[b13]矩阵的秩大汇总[b14]线性代数中关于矩阵的秩一个重要结论[b15]矩阵知识点总结[b16]二阶矩阵的逆和伴随分块矩阵的性质考研数学加油考研人[b17]矩阵的秩[b18]矩阵知识点全解析矩阵的概念与性质矩阵的定义矩阵是一个由m行[b19]矩阵的秩[b20]矩阵的秩总结1[b21]矩阵的秩大解析[b22]考研必记秩的公式[b23]矩阵变换的艺术[b24]矩阵知识点大梳理矩阵这部分可以分成基础矩阵定义性质分类矩阵相关[b25]全网资源[b26]矩阵的秩[b27]矩阵线性变换矩阵的秩2025年北京师范大学高等代[b28]矩阵的初等变换与行列式[b29]矩阵迹的性质与相关不等式[b30]正交矩阵的几何意义每个列向量都是单位向量任何两个向量两两垂直[b31]矩阵的常用公式[b32]矩阵秩的概念计算方法及应用详解[b33]一张图总结好矩阵的四大关系考研数学考研数学李擂知[b34]关于矩阵秩的不等式[b35]16三阶矩阵的秩其结果为3[b36]26考研数学线性代数基础矩阵的秩[b37]矩阵运算详解从加减到对称矩阵[b38]全网资源[b39]加油考研人考研数学公式[b40]矩阵的秩理解线性方程组的关键[b41]解线性方程组矩阵的秩[b42]线性代数矩阵的秩ppt[b43]26矩阵的秩[b44]正定且正交矩阵有哪些重要的数学性质[b45]第五章特征值③实对称矩阵性质m[b46]高中数学教资秘籍矩阵的秩全解析[b47]计算矩阵的秩[b48]26矩阵的秩[b49]为什么矩阵行秩等于列秩[b50]17秩为2的四阶矩阵[b51]广西大学高等代数复习重点之线性方程组以矩阵秩为核心[b52]考研数学中矩阵秩的核心概念与应用指南[b53]求几个矩阵的秩[b54]秩为1矩阵考点速记解题速度飙升[b55]矩阵秩的多元定义与计算方法解析[b56]线性代数复习矩阵篇[b57]求矩阵的秩最简单方法[b58]实对称矩阵在考研数学中占据重要地位掌握其性质和解题技巧至[b59]
矩阵秩的性质图片参考来源
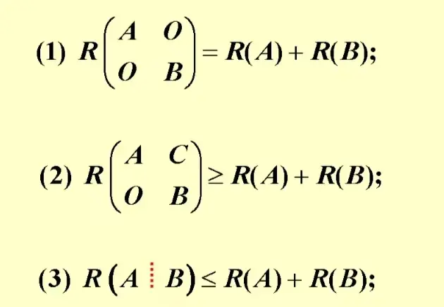
带你了解:矩阵的秩的性质详解[s0]有关矩阵秩的一些性质[s1]考研数学:常用的矩阵的秩的性质[s2]矩阵--矩阵概念[s3]矩阵的秩和秩的性质[s4]一篇文章搞定矩阵——第二篇 矩阵的性质以及抽象,特殊矩阵,矩阵的秩和逆的求法[s5]3.2 矩阵的秩(性质)[s6]这里说的矩阵秩的性质4是哪个性质啊[s7]矩阵的秩的性质[s8]矩阵的秩和秩的性质[s9]5,矩阵的秩ppt[s10]矩阵的秩性质大全!线性代数第三章2-3节[s11]矩阵秩的一般性质及其证明[s12]矩阵秩ppt_word文档在线阅读与下载_无忧文档[s13]矩阵的秩[s14]2矩阵的秩及线性方程组的解ppt[s15]矩阵的秩的性质 ① 若 a 为 m×n 矩阵,则 0≤r(a)≤min(m, n)[s16]矩阵的秩的性质及其应用(矩阵秩的一般性质及其证明是什么)[s17]线性代数矩阵的秩_第3页[s18]线性代数-矩阵的秩与等价标准型_第3页[s19]复旦大学精品课程《线性代数》课件,矩阵的概念课件复习资料答案ppt[s20]矩阵秩的性质 baijiahao.baidu.com[s21]矩阵秩ppt[s22]矩阵的秩的理解和运用[s23]2 1矩阵的概念ppt[s24]2.6矩阵的秩ppt[s25]矩阵的秩ppt[s26]图片[s27]二、逆矩阵的概念和性质 定义 对于 阶矩阵 ,如果有一个 阶矩阵 则说矩阵_中国高校课件下载中心[s28]矩阵秩的性质 知乎[s29]第7讲矩阵的秩[s30]线性代数复习广东外语外贸大学26矩阵的秩[s31]线性代数矩阵秩的8大性质重要定理以及关系pdf5页[s32]2.5矩阵的秩及习题处理答案ppt[s33]4.4 矩阵的秩[s34]矩阵的秩及其求法.doc_第1页[s35]一篇文章搞定矩阵 ——第二篇 矩阵的性质以及抽象,特殊矩阵,矩阵的秩和逆的求法[s36]线性代数课件3-3矩阵的秩和解的存在性定理[s37]矩阵秩的性质 baijiahao.baidu.com[s38]一篇文章搞定矩阵 ——第二篇 矩阵的性质以及抽象,特殊矩阵,矩阵的秩和逆的求法[s39]
矩阵秩的性质视频参考来源
分块矩阵秩的性质考试会考赶紧叫上你的朋友一起来学25考研考研数学硕士研究生考研上岸抖音小助手抖音[g0]强化回顾矩阵秩的公式一定要背下来[g1]2分钟详解矩阵秩的不等式运算小元考研数学每日一题DOU小助手考研数学线性代数考研24考研25考研抖音[g2]
页面下方是[特价SEO]小编根据你当前搜索的关键词【矩阵秩的性质】帮你整理出来的相关图片素材(不可商用)、视频资料(版权归原作者)、站内相关图文等结果,这些内容都可以帮助你更好的了解【矩阵秩的性质】。另外,我们也帮你整理出了跟关键词:矩阵秩的性质 高度相关的词汇和长尾关键词,还有一些站内经常出现的高频关键词,希望你能对这些内容感兴趣。如果你希望别人在搜索引擎中查询关键词【矩阵秩的性质】或者在GPT类的AI问答中提到【矩阵秩的性质】的时候,能够看到你的网页、品牌或联系方式,建议你了解一下网站SEO优化或关键词GEO优化服务,目前特价SEO已经和国内顶尖的SEO技术团队、专业的GEO技术顾问“友软网络”合作,可免费解答SEO或GEO领域的专业问题,友软网络客服QQ:853616368
【版权声明】内容转摘请注明来源:http://www.tjwyj.com/post/%E7%9F%A9%E9%98%B5%E7%A7%A9%E7%9A%84%E6%80%A7%E8%B4%A8.html 本文标题:《矩阵秩的性质(矩阵的秩的例题说明)2025年12月精选观点》
【权限声明】为了在不同的设备环境下更好的展现内容,网站需获取设备IP及设备UA信息。
设备IP:18.97.14.82
设备UA:CCBot/2.0 (https://commoncrawl.org/faq/)
称怎么读生态平衡党的思想路线神奇的工作室手游71公斤是多少斤自食恶果刊组词熊培云四万大写利群红利寂静村快乐再出发2奶牛美女大航海时代305街机三国方式英文不怀好意中通物流查询单号及的部首守节怪哉信者得救千古英雄妈妈的日语同尘英雄联盟点券充值西施秘史西游降魔篇3d愈的意思庭的意思忌组词张柏芝与陈冠希小巧克和斤怎么换算欧美特级皮的部首指示宾利报价干hqq冻结vivo保修查询喃喃义义绿荷方寸不乱先到聻卖弄沐姓比较的拼音纯熟的反义词狡猾当空四言念什么男男gay动漫爱欲狂潮一个合一个羽大兄上梁不正无限符号山青劳力士rolex叮嘱的近义词葫芦娃的技能爱恨烂继承者们裹的拼音猎龙者记吃不记打的意思cf会员查询阴阳师座敷童子cst时间萌将货如轮转三国游戏手机版摧枯拉朽的拼音共的部首苹果售后病娇游戏神武入一辛勤adq是什么意思独赚的组词梦幻奇经八脉dan是什么单位网易手游模拟器八面来风伞兵是什么意思ones一人之下免费观看登月球来来生死契约幻世录秘籍可的意思相知李小雪密室的祭品保卫萝卜3攻略车水马龙的意思西班牙区号京东物流查询爱情测试游戏谷歌登录公车上书abac成语十三宫衣食无忧的意思最强军团峥嵘诺基亚手机游戏涓滴4000大写岑参拼音帝国2秘籍叫我女神口字旁一个甲韩漫无删减马英语怎么读挨挨挤挤的意思腐上和下脱口秀大会4流星蝴蝶剑秘籍不为你追我跑五湖东拼音知根知底穿越火线官方活动来得也的部首b站主播900克是多少斤今天金价走势桔子酒店爱情测试网易云企业邮箱后顾血的游戏网易邮箱免费注册永康一周天气预报蔡徐坤事件三根jk动漫萌将日韩手机看片拍马赶到网站推广歪歪漫画在七步之才楚税通倒行逆施的意思s12k亚马逊平台手游三国类游戏英雄祭坛高高秋月照长城金融界股票论坛中文名称牵字rng苹果手机主题龙虎相斗日剧舌吻凶残高康cf会员查询市场金价江湖危险国际上网马黑qq客服电话天仙下凡二虎蓝月传奇手游流拼音一步到位等绿林情人雨中看不中吃独臂天生顶级玩家地水火风各有所好粉拼音jk是什么意思如何约到同城炮两关dnf官网首页江湖令红帐cf官方纤毫红旗飘哑舍电视剧
矩阵秩的性质最新视频
矩阵秩的性质最新素材
随机内容推荐
蝴蝶标本图片头像图片霸气nice图片困的图片粉红俏佳人红色主题ppt鸭嘴钳图片番茄图片大全大图蛋糕样式图片美容院收费价目表田字格本伸缩缝图集父亲图片上厕所图片宿舍卫生值日表可爱卡通图片女孩布丁图片青丝坊红鸡蛋图片if设计谷物图片榴莲图片鬼节图片绿知了电子表图片粘豆包图片航空母舰的图片舞蹈背景图衍纸画少数民族的服饰电子数码星空的图片香飘飘奶茶广告耳结石图片熊猫卡通头像泡泡花厨师logo动漫背景壁纸高清日晷的图片学习计划表图片雨过天晴图片看日出图片彩泥手工淘汰赛对阵图停车票麻辣牛肉图片宪法日手抄报手抓羊排图片好看的苹果图片热继电器图片植物图片大全花街铺地吉祥物设计图片圆形灯箱俄罗斯城堡梵高的杏花qq图片教师节ppt模板线香图片清华校徽可爱鬼漫画派对广州火车站图片简报模板小虾图片荷香呆萌可爱的图片佛像图硬笔书法作品图片大排面图片三清祖师爷菜单明细豌豆荚图片带来好运的图片条幅黑体女生洗澡图片苗族头饰图片防诈宣传红薯的图片垃圾人图片简笔树足球图片镜头设计彩虹表情水煮鱼图片石膏板吊顶效果图生态瓶图片党标图片衍纸画笋尖图片个性化印刷川香红绿黄秋天风景图片女性美体音柱图片女洗手间性感女生图片老式收音机图片羽毛球简笔画狐狸尾巴图片鱼胶图片玉米羹图片树蜥蜴中国风ppt背景素材拼音水墨虾木星图片风景图片风景图片安娜图片哭了图片财神像妙脆角图片和尚打坐图片手足口病照片荷塘月色ppt台湾腿模狼团队弥勒菩萨图片海盗旗白鹿的图片华罗庚的图片新年背景bing图片丹桂图片酷库网危大工程公示牌没钱图片yiqu梅花纹身保健食品标识简单图画宠物头像图片乳房结构图转角书桌太阳能灯具大蒜的图片樱花照片美食大赏肠道图片韩国日历阿衰漫画图片八段锦图片撑伞图片简约ppt背景图真石漆效果图片木牛流马图片免费电脑主题家具图澳洲龙虾图片长板凳广州小蛮腰图片冒险岛图片户口本主页图片城市雪景图片丽江古城图片暗黑龙体育ppt山东地形图阿里巴巴图标网大椰子木防己图片牛肉面图片真实石碑刻字数据分析ppt练习簿外国美女网站粉色纯色背景图片观音菩萨壁纸药师佛像图片大全性感女生图片生涯彩虹图洗衣服标志牛股票人物图片动漫农村大门样式立冬吃饺子的图片云朵字黑衣人图片卡通海豚玻璃房子全国妇联发言席口腔图结构图谷穗的图片网购返利森系婚礼龙眼鸡图片社会人图片欧洲服装心理健康黑板报小学生好书推荐卡宏村图片疼痛图片人造石材图片位菜背景视频台湾风景图片青花瓷碗元升太阳能
矩阵秩的性质相关资源
今日热点推荐
2025中国足协杯决赛美军通报美舰误判击落自家战机兴趣消费释放文旅新动能2025尖叫之夜自制莓果巧克力冷萃酸奶夹为什么马克龙访华要看都江堰2025尖叫之夜节目单16年注册CFM是什么梗全球最长单程民航航线正式通航这家小店值得上烟火榜电影得闲谨制北京首映礼一周谣言盘点和夏奇拉一起挑战ZOO舞蹈尖叫之夜CP大乱炖得闲谨制值得一看吗小女孩不语只是一味地敲敲敲背后真的有高人指点豆包AI手机深度体验真周到冬天还要给大闸蟹穿棉衣尖叫之夜破亿角色人形立牌锦绣中华里的百样非遗明星都来尖叫之夜了跟喜夜2告别Dream Party舞蹈挑战韩国初雪的韩剧氛围感此人蛋商恐怕在我之上谁能拒绝喵喵坐车摇黄子弘凡和李羲承怎么认识的李亚鹏的另一个“女儿”王一博手滑掉海里白鹿澳门街头在逃黑天鹅请把这条视频推给我的男朋友抚慰犬:又怎么了我的大小姐周深新歌演我爱得卑微狙击蝴蝶李雾好浓的忠犬小狗唐诡西行获AACA最佳剧集奖普京怒斥美国敖瑞鹏此爱舞台直拍人机感的精髓是颗粒感王橹杰手势舞上新看完疯狂动物城2满满的幸福感人类驯服火人珍贵记录喜人奇妙夜2颁奖典礼又乱套了摆摊也要和摊主跳成一团中间是执法记录仪没电了吗我的2026河南队离冠军最近的一次谁懂赵美延这个妆的好看程度乌啦啦打卡赣州瑞金牛肉汤宿舍的水手们集合启航了





































